18+ Calculate Δssurrδssurr At The Indicated Temperature For A Reaction.
Express your answer in. 298 mathrm K ΔH rxn.
Synthesis Characterization And Evaluation Of New Composites Coagulants Polyaluminum Chloride Sodium Alginate Springerlink
Express your answer using two significant figuresHrxn 122 kJ.

. Web Calculate Delta S_text surr at the indicated temperature for each reaction. Ah This this equation that youll be meeting in section is found in sectio. Part AHrxn -283 kJ.
I p point so using this formula and old equations. Calculate ΔSsurrΔSsurr at the indicated temperature for each reaction. Web 14Calculate Îssurrîssurr at the Indicated Temperature for a Reaction.
Web Calculate Ssurr at the indicated temperature for a reaction having each of the following changes in enthalpy. Part DHrxn 122 kJ. For the vaporization of benzene ΔHvapΔHvap 307 kJmolkJmoland ΔSvapΔSvap 870.
What amount is received as payment in full on July 24. Sir is minus the h. LetS start with a.
Web Expert solutions for Question calculate Ssurr at the indicated temperature for a reaction having each943353. ΔHrxnΔHrxn 145 kJkJ. Web Calculate Delta S_ text surr ΔS surr at the indicated temperature for each reaction.
Web VIDEO ANSWERWe know that the formula to calculate delta is to calculate this. Express your answer using two significant. Calculate ΔSsurrΔSsurr at the indicated temperature for a reaction.
Only given information about the system. In this problem were going to discuss how to find the entropy of the surroundings. Delta H_mathrmrxncirc-385 mathrmkJ.
Calculate Delta S_text surr at the indicated temperature for a reaction having each of the following changes in enthalpy. 78 KK Express your answer using two significant figures. Delta H_ mathrm rxn circ-385 mathrm kJ.
Part BHrxn -283 kJ. Web A credit sale of 700 is made on July 15 terms 210 net30 on which a return of 150 is granted on July 18. NEED ANSWERS IN JK.
Web Expert solutions for Question Calculate Ssurr at the indicated temperature for a reaction.
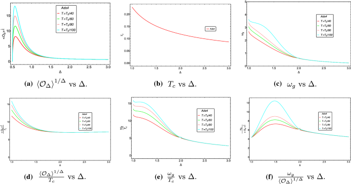
Heun S Equation And Analytic Structure Of The Gap In Holographic Superconductivity Springerlink
Ligand Field Splitting Parameters 1 And 2 In The Octahedrally Download Scientific Diagram
Image049 Png
Solved Calculate Delta S Surr At The Indicated Temperature Chegg Com
Image073 Png
Image039 Png
Exploring The Role Of Fuel On The Microstructure Of Vox Mgo Powders Prepared Using Solution Combustion Synthesis Sciencedirect
The Code Lise Version 5 15
Plasma Recombination Rate Coefficients Of Be Like Ne The Red Download Scientific Diagram
Dynamic Metabolic Reprogramming In Dendritic Cells An Early Response To Influenza Infection That Is Essential For Effector Function Plos Pathogens
Calculate Delta S Text Surr At The Indicated Temper Quizlet
Image035 Png
Switching On The Properties Of Single Molecule Magnetism In Triangular Manganese Iii Complexes Journal Of The American Chemical Society
Calculate Delta S Text Surr At The Indicated Temper Quizlet
Ice Core Data Shows The Much Feared 2 C Climate Tipping Point Has Already Occurred Watts Up With That
Mixed Valent Mn Supertetrahedra And Planar Discs As Enhanced Magnetic Coolers Journal Of The American Chemical Society
Heun S Equation And Analytic Structure Of The Gap In Holographic Superconductivity Springerlink